車いすの力学

 ここでは「科学の祭典」後に行った追加実験についての分析をモーメント、運動方程式を用いて進めていきたいと思う。  今年に入ってから、車いす乗車体験でのデータ収集方法が「ラベル」による感想から「アンケート」による数値的データに変わった。特に「科学の祭典」 では坂の角度、みぞの幅などの違いが乗車した人にとってどれだけ難しいのかを単純平均によって表わした。その違いは主に、障害物を越えるのに必要とす る力の大きさによっていると推測できる。ではその大きさについて具体的な数値を数式から導くというのが、ここのねらいである。  ただ、ここでの分析は空気抵抗などを無視した理想的な状態、理想的な車いすとして考えているので、現実とは多少の差が出てしまうことを考慮していただきたいと思う。  さて、今回の追加実験では次のようなことについて調べた。

1 坂道 4.8度、6.6度、8.6度のそれぞれを登るのに必要とする力
2 みぞ 5cmを越えるのに必要とする力
  (力の量の測定にはばねばかりを用いた)

 実験方法は車いすの前方部分にばねばかりをかけ、接地面にたいして水平に 引きそのときの力の大きさを計測した。 結果は以下の通りである。

 車いすの重量   12kg重
 乗車した人の重量 60kg重
1 坂道 4.8度 6.0kg重
6.6度8.0kg重
8.6度12.0kg重
2 みぞ 5cm9.4kg重
最大静止摩擦力 15kg重

 それでは、分析をしていきたいと思う。
以下、変数は次のようにして表わす

全重量
F 前輪にかかる重量
B 後輪にかかる重量
F 地面が前輪に加える力(=MFg)
B 地面が後輪に加える力(=MBg)
重力加速度
手すりに加える力
1 後輪手すりの半径
2 後輪の半径
F 前輪の半径

@車いすの前輪と後輪の重量比

重心から後輪の輪軸までの水平距離:a
重心から前輪の輪軸までの水平距離:b

とすれば 力学的モーメントから重心を中心として回転しないためには となる。よって

                               

となるので

という比になる。

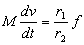
A静止している車いすを動かす 駆動輪である後輪について考える

水平方向への運動方程式は


また垂直方向は

これより加速度は

となるわけであるが、タイヤが地面水平方向に加える力が最大静止摩擦力よりも大きくなるとスリップするので、

という条件が加えられる。

B斜面を登るとき

Aの場合に、重力を加える

水平方向の運動方程式は


垂直方向は

となるので
また、スリップしないようにするには

となるので、あわせて

という条件のもとで前にすすむようになる。

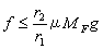
C段差を登るとき

前輪が段差を越える条件は


ここで、駆動輪の運動方程式、

を代入して

という条件で登ることができる。

さて、以上の分析から必要な力を算出してみる。
この時それぞれの大きさは

前輪の半径 7.5cm
後輪の半径 30.0cm
手すりの半径 25.0cm
前輪、後輪の重量比 F:MB=1:2

とした。

障害物 ばねばかり 手すり
坂4.8度 6.0kg 7.2kg
坂6.6度 8.3kg 9.9kg
坂8.6度 10.8kg 12.9kg
みぞ5cm 8.5kg 10.1kg
(単位:kg重)

ということになる。
坂に関しては実験データとほぼ同じになった。 8.6度についてはばねばかりのはかりかたに問題があったように思える。 みぞは5cmと計測したはずであるが、ずれていたと仮定し、みぞ5.5cmとすると
ばねばかり 9.4kg
手すり 11.4kg
(単位:kg重)

となる。またこれ以外についても求めたので並べてみると

障害物 ばねばかり手すり
坂1゜ 1.31.5
坂2゜ 2.53.0
坂3゜ 3.84.5
坂4゜ 5.06.0
坂5゜ 6.37.5
坂6゜ 7.59.0
坂7゜ 8.810.5
坂8゜ 10.012.0
坂9゜ 11.313.5
坂10゜ 11.915.0
段差1cm 13.816.8
段差2cm 22.326.7
段差3cm 32.038.4
溝幅3cm 4.95.9
溝幅4cm 6.67.9
溝幅5cm 8.510.1
溝幅6cm 10.512.6
溝幅7cm 12.715.2
溝幅8cm 15.118.2
溝幅9cm 18.021.6
溝幅10cm 21.525.8
(単位:kg重)

 坂やみぞに比べて段差の力が多く必要であることが目に付くが、これはあくまで水平方向のみの力である。ここで重心を後ろにかける行為、つまり「背もたれに背中をつける」ことで、前輪にかかる負担を減らすことができるので負担はもう少し少なくなると考えられる。以上の結果とアンケート結果を見比べて欲しい。段差3cmがなぜアンケートで一番の難度を示したのがおわかりいただけるはずである。今後この結果が車いす利用者のための社会づくりに役立てていただければと思う。

TOPに戻る